|
News
|
没有中奖的朋友也不灰心,第二周(2月8日-2月14日)的抽奖已经启动,50架无人机还有49架,等你来领走噢。此外,还有包括200元、100元无人机代金券,朱雀无人机电池等朱雀配件更多礼品每周供应。
关注曼塔智能 微信公众号参与 抽奖,微信搜索“曼塔智能”关注我们,或者扫描文末二维码关注。
前两周中奖客户先不要着急,中奖客户将在15日农历新年后第一个工作日,由曼塔智能工作人员联络统一确认兑奖信息。以后每周一对上一周中奖名单作出公布,遇节假日向后顺延。
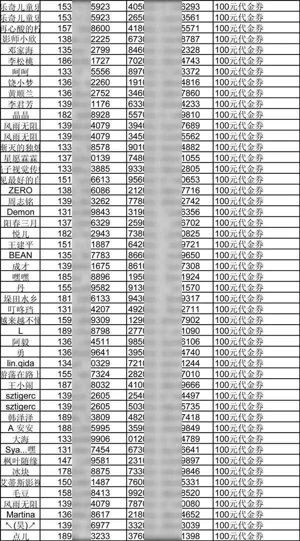
首周(2月1日-2月7日)全部中奖名单如下:
